Официальное опубликование правовых актов
ОФИЦИАЛЬНОЕ ОПУБЛИКОВАНИЕ
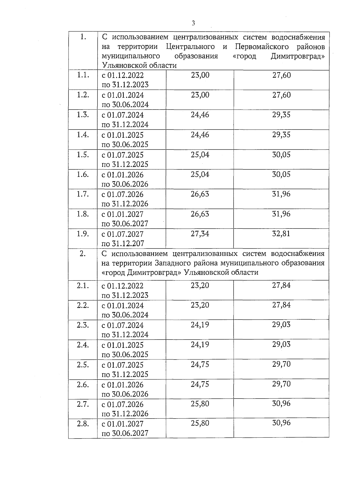
Приказ Агентства по регулированию цен и тарифов Ульяновской области от 24.10.2023 № 85-П
"О внесении изменений в приказ Агентства по регулированию цен и тарифов Ульяновской области от 25.11.2022 № 291-П"
(Зарегистрирован 24.10.2023 № ГР-17/85)
Номер опубликования: 7301202310250001
Дата опубликования: 25.10.2023
Страница №3 из 4:
Увеличить