Официальное опубликование правовых актов
ОФИЦИАЛЬНОЕ ОПУБЛИКОВАНИЕ
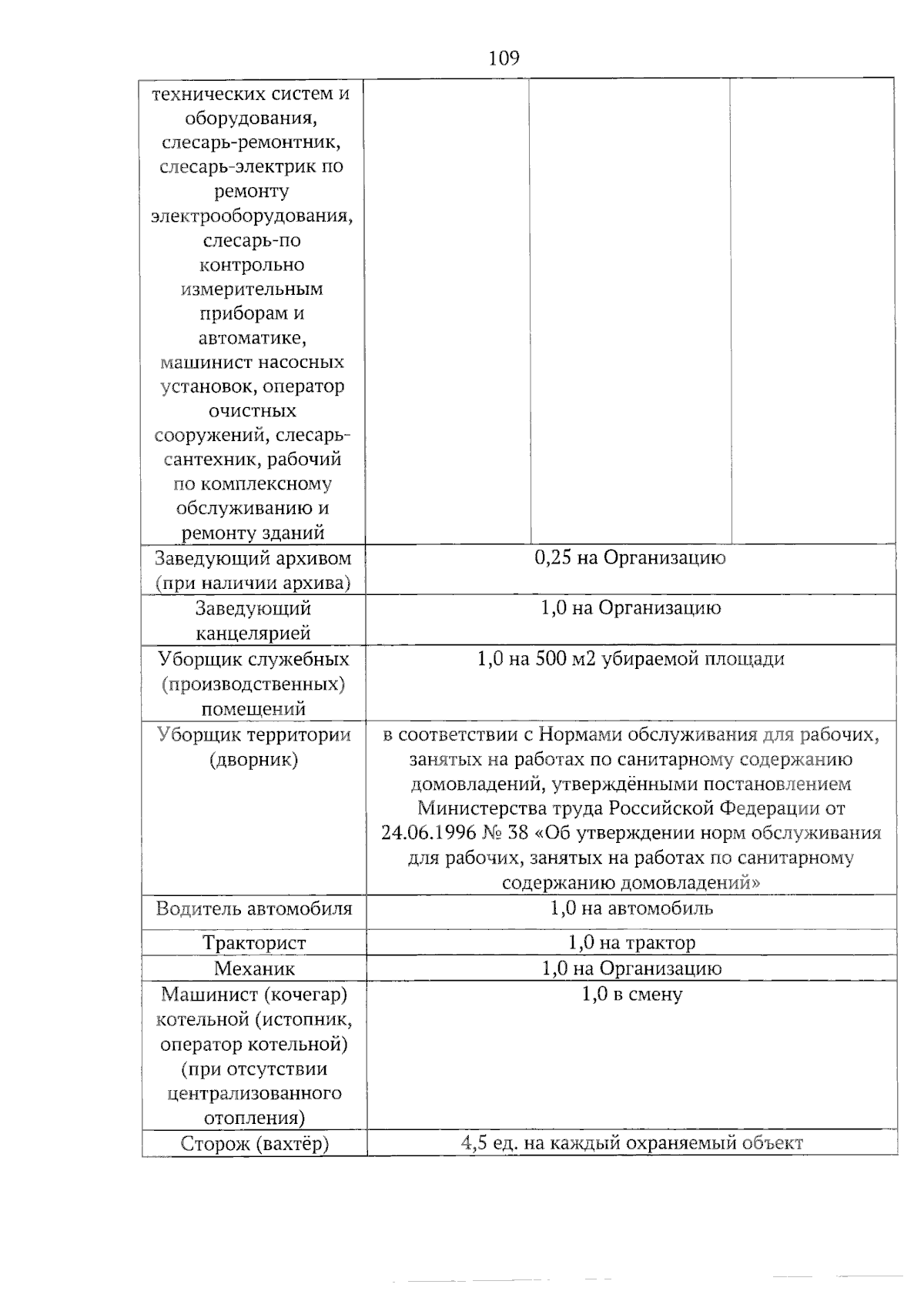
Приказ Министерства социального развития Ульяновской области от 08.09.2023 № 53-п
"Об утверждении нормативов штатной численности организаций социального обслуживания и организаций для детей-сирот и детей, оставшихся без попечения родителей, функции и полномочия учредителя которых осуществляет Министерство социального развития Ульяновской области"
(Зарегистрирован 08.09.2023 № ГР-12/53)
Номер опубликования: 7301202309130009
Дата опубликования: 13.09.2023
Страница №109 из 125:
Увеличить