Официальное опубликование правовых актов
ОФИЦИАЛЬНОЕ ОПУБЛИКОВАНИЕ
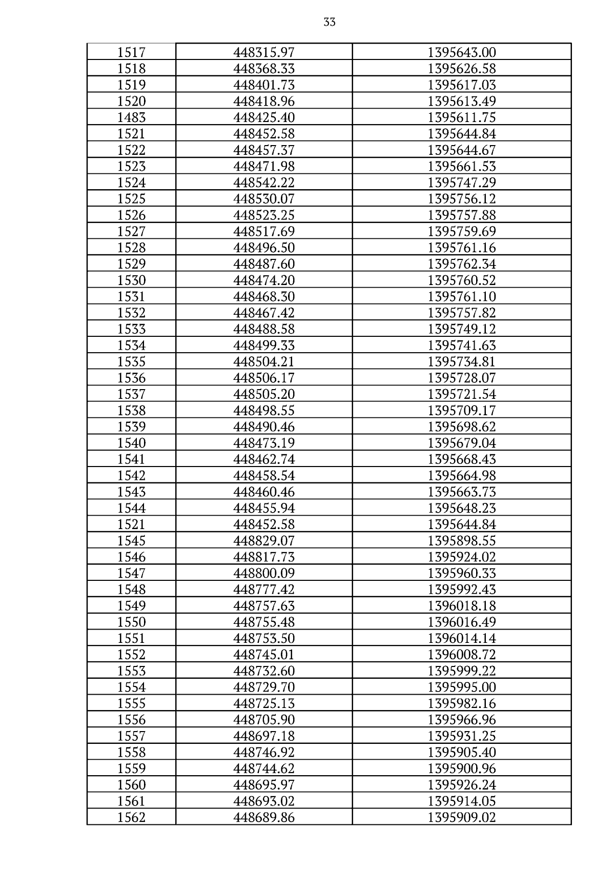
Приказ Министерства имущественных отношений и архитектуры Ульяновской области от 23.08.2023 № 95-пр
"О внесении изменений в приказ Департамента государственного имущества и земельных отношений Ульяновской области от 27.11.2015 № 122-ПОД"
Номер опубликования: 7301202308250019
Дата опубликования: 25.08.2023
Страница №35 из 36:
Увеличить