Официальное опубликование правовых актов
ОФИЦИАЛЬНОЕ ОПУБЛИКОВАНИЕ
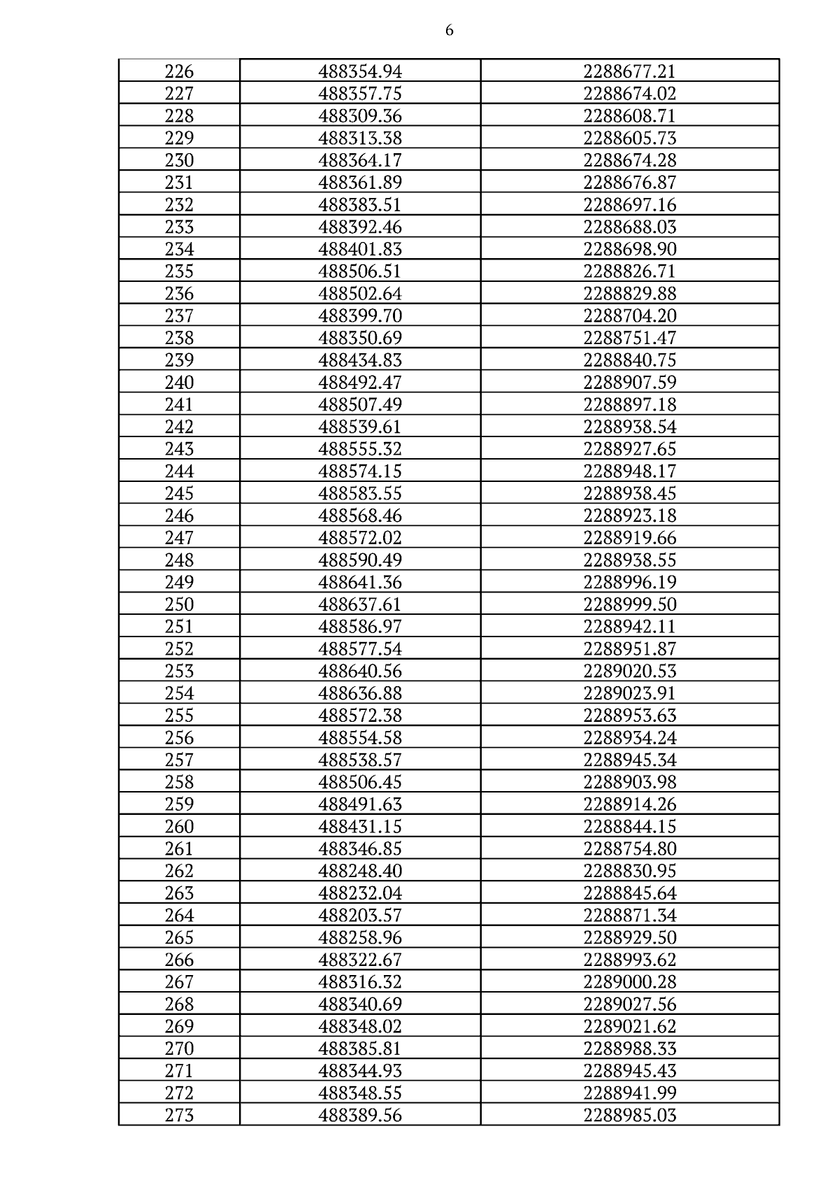
Приказ Министерства имущественных отношений и архитектуры Ульяновской области от 23.08.2023 № 99-пр
"О внесении изменений в приказ Министерства строительства и архитектуры Ульяновской области от 15.08.2019 № 144-пр"
Номер опубликования: 7301202308250014
Дата опубликования: 25.08.2023
Страница №8 из 10:
Увеличить