Официальное опубликование правовых актов
ОФИЦИАЛЬНОЕ ОПУБЛИКОВАНИЕ
Приказ Министерства имущественных отношений и архитектуры Ульяновской области от 23.08.2023 № 83-пр
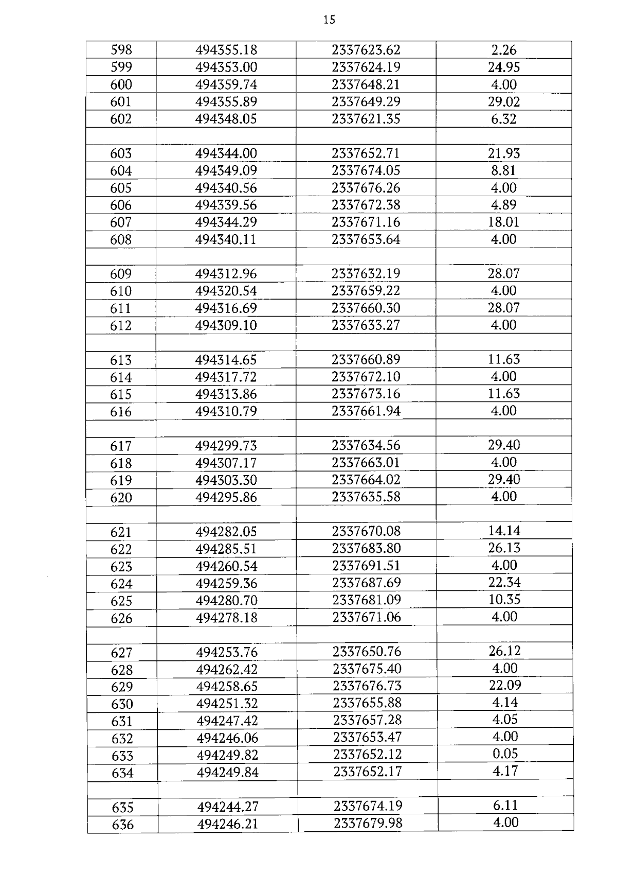
"Об утверждении границы охранной зоны газопровода, протяженностью 17526 м, адрес: Ульяновская область, г. Димитровград, ул. Рабочая, ул. Волжская, ул. Парадизова, ул. Камская, ул. Куйбышева, ул. Невская, ул. Крестьянская, ул. Трудовая, ул. Озерная, ул. Лебедева, ул. Патриса Лумумбы и наложении ограничений (обременений) на входящие в неё земельные участки"
Номер опубликования: 7301202308250009
Дата опубликования: 25.08.2023
Страница №17 из 70:
Увеличить