Официальное опубликование правовых актов
ОФИЦИАЛЬНОЕ ОПУБЛИКОВАНИЕ
Приказ Министерства имущественных отношений и архитектуры Ульяновской области от 23.08.2023 № 90-пр
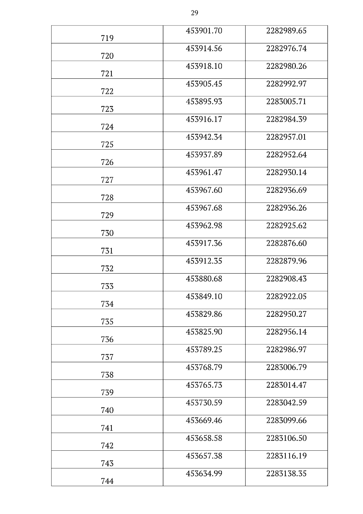
"Об утверждении границы охранной зоны внутрипоселкового газопровода с. Елаур Сенгилеевского района Ульяновской области, протяженностью 21750 м, местоположение: Ульяновская область, Сенгилеевский район, с. Елаур и наложении ограничений (обременений) на входящие в неё земельные участки"
Номер опубликования: 7301202308250008
Дата опубликования: 25.08.2023
Страница №31 из 48:
Увеличить