Официальное опубликование правовых актов
ОФИЦИАЛЬНОЕ ОПУБЛИКОВАНИЕ
Приказ Министерства имущественных отношений и архитектуры Ульяновской области от 23.08.2023 № 86-пр
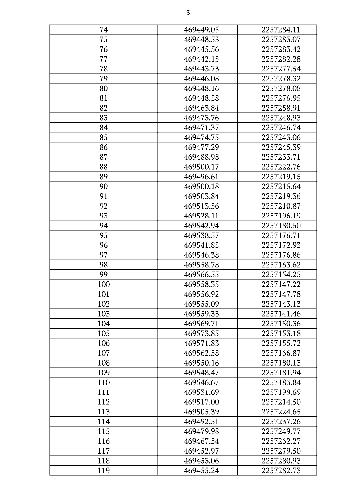
"Об утверждении границы охранной зоны внутрипоселкового газопровода в с. Смородино Сенгилеевского района Ульяновской области, протяженностью 8145 м, местоположение: Ульяновская область, р-н Сенгилеевский, с. Смородино и наложении ограничений (обременений на входящие в неё земельные участки"
Номер опубликования: 7301202308250007
Дата опубликования: 25.08.2023
Страница №5 из 38:
Увеличить