Официальное опубликование правовых актов
ОФИЦИАЛЬНОЕ ОПУБЛИКОВАНИЕ
Приказ Министерства имущественных отношений и архитектуры Ульяновской области от 23.08.2023 № 84-пр
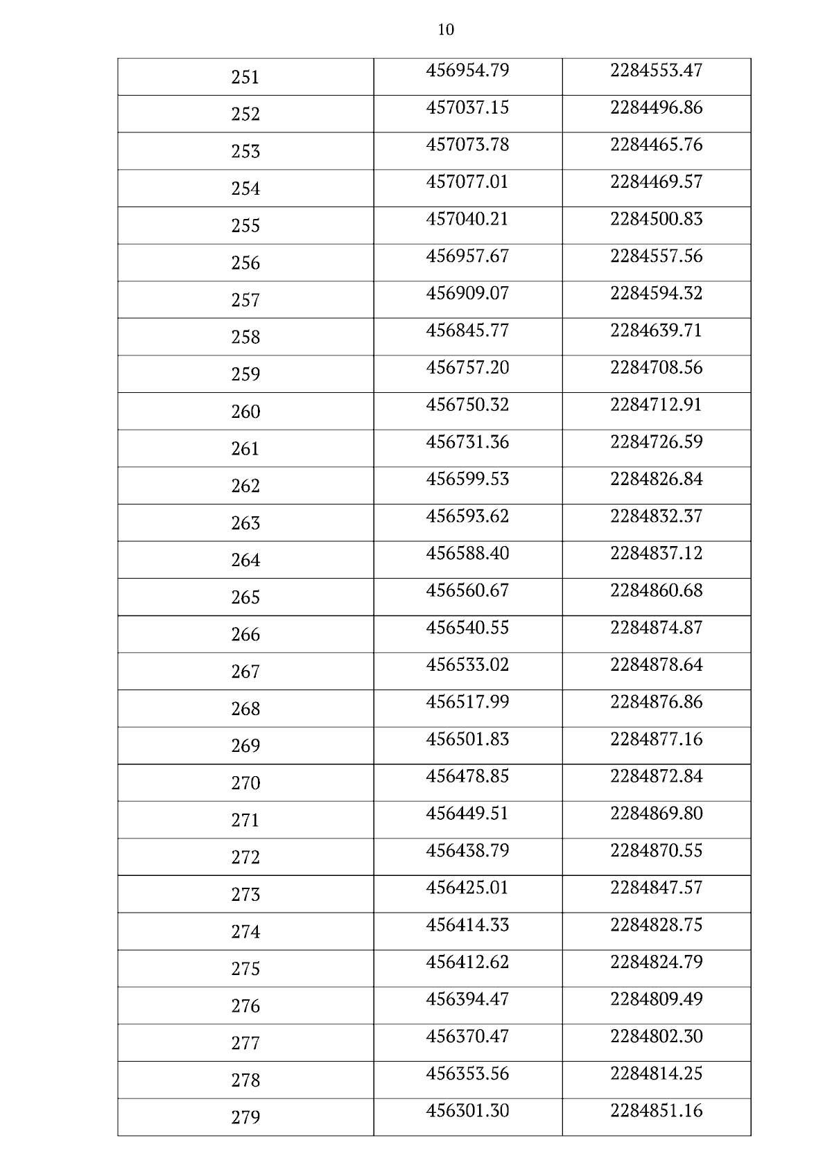
"Об утверждении границы охранной зоны внутрипоселкового газопровода с. Алешкино Сенгилеевского района Ульяновской области, протяженностью 10769 м, местоположение: Ульяновская область, р-н Сенгилеевский, с. Алешкино и наложении ограничений (обременений) на входящие в неё земельные участки"
Номер опубликования: 7301202308250004
Дата опубликования: 25.08.2023
Страница №12 из 23:
Увеличить