Официальное опубликование правовых актов
ОФИЦИАЛЬНОЕ ОПУБЛИКОВАНИЕ
Приказ Министерства имущественных отношений и архитектуры Ульяновской области от 23.08.2023 № 91-пр
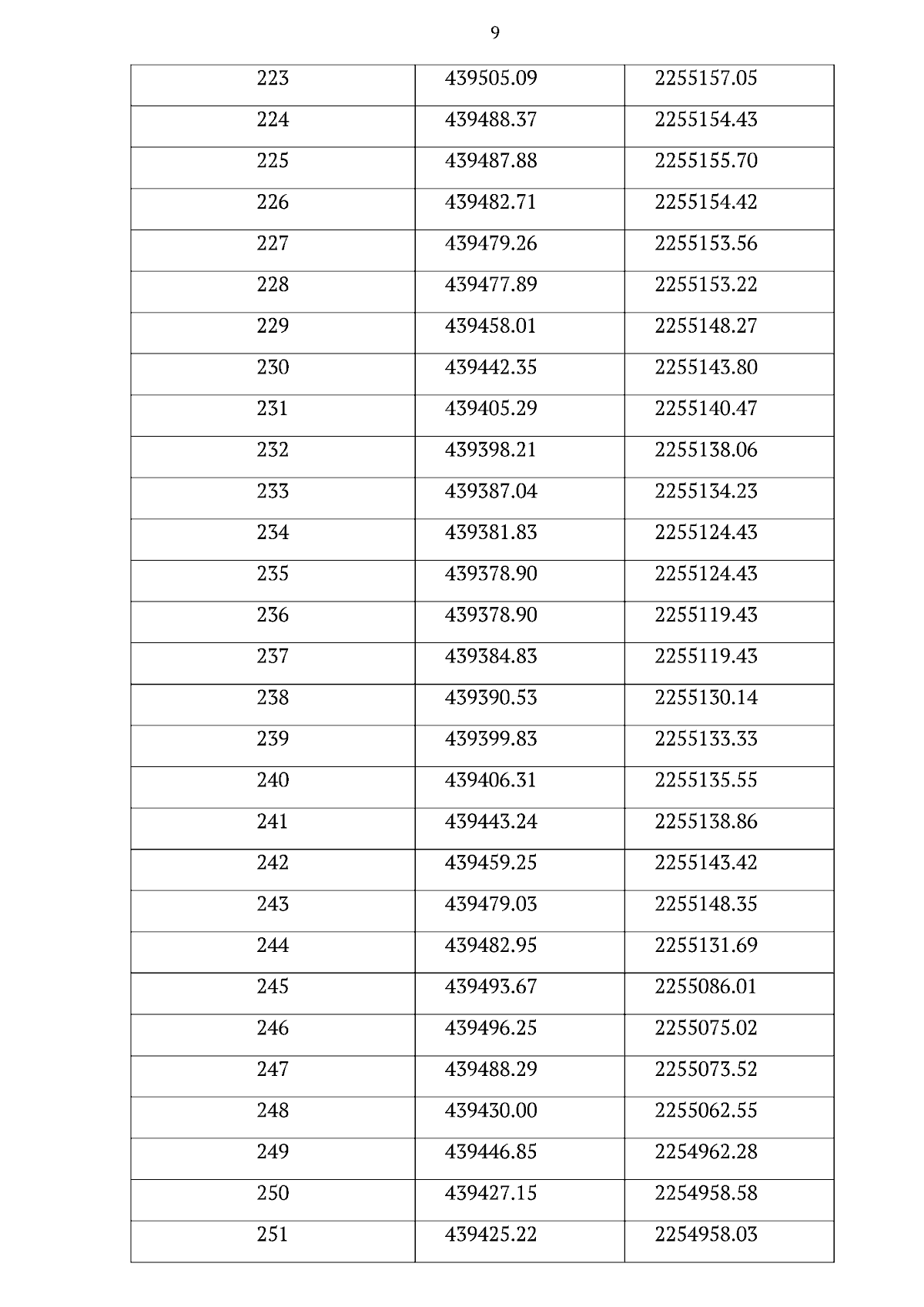
"Об утверждении границы охранной зоны газопровода, протяженностью 43112 м, местоположение: Ульяновская область, Тереньгульский р-н, р.п. Тереньга и наложении ограничений (обременений) на входящие в неё земельные участки"
Номер опубликования: 7301202308250002
Дата опубликования: 25.08.2023
Страница №11 из 137:
Увеличить