Официальное опубликование правовых актов
ОФИЦИАЛЬНОЕ ОПУБЛИКОВАНИЕ
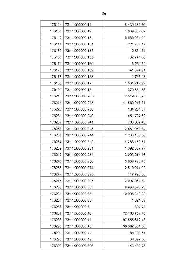
Приказ Министерства имущественных отношений и архитектуры Ульяновской области от 29.06.2023 № 60-пр
"О внесении изменений в приказ Министерства строительства и архитектуры Ульяновской области от 20.10.2020 № 241-пр и приказ Министерства имущественных отношений и архитектуры Ульяновской области от 25.11.2022 № 263-пр"
Номер опубликования: 7301202307050002
Дата опубликования: 05.07.2023
Страница №27 из 139:
Увеличить