Официальное опубликование правовых актов
ОФИЦИАЛЬНОЕ ОПУБЛИКОВАНИЕ
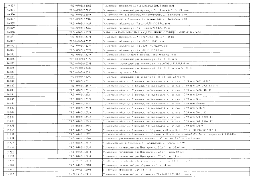
Приказ Министерства имущественных отношений и архитектуры Ульяновской области от 25.11.2022 № 264-пр
"Об определении перечня объектов недвижимого имущества, в отношении которых налоговая база определяется как кадастровая стоимость, на 2023 год"
Номер опубликования: 7301202211300001
Дата опубликования: 30.11.2022
Страница №453 из 532:
Увеличить