Официальное опубликование правовых актов
ОФИЦИАЛЬНОЕ ОПУБЛИКОВАНИЕ
Приказ Агентства по регулированию цен и тарифов Ульяновской области от 22.11.2022 № 98-П
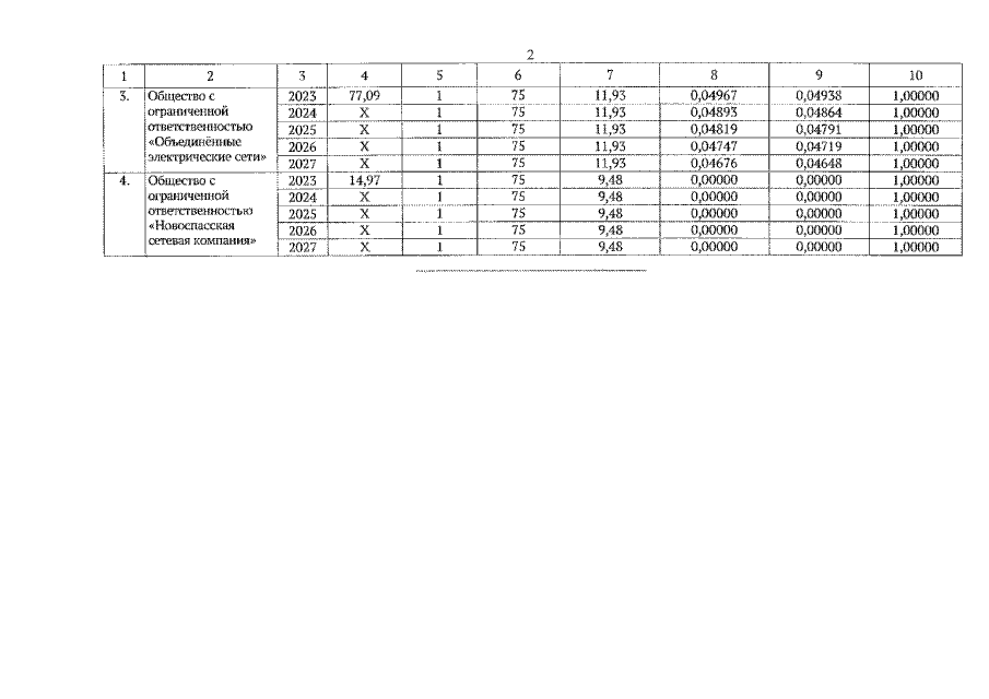
"Об установлении долгосрочных параметров регулирования для территориальных сетевых организаций, в отношении которых тарифы на услуги по передаче электрической энергии устанавливаются на основе долгосрочных параметров регулирования деятельности территориальных сетевых организаций, на период 2023 - 2027 годы"
Номер опубликования: 7301202211240005
Дата опубликования: 24.11.2022
Страница №4 из 4:
Увеличить