Официальное опубликование правовых актов
ОФИЦИАЛЬНОЕ ОПУБЛИКОВАНИЕ
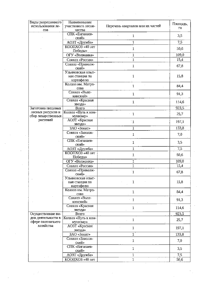
Приказ Министерства природных ресурсов и экологии Ульяновской области от 03.11.2022 № 44
"О внесении изменений в лесохозяйственный регламент Ульяновского лесничества Ульяновской области"
Номер опубликования: 7301202211080003
Дата опубликования: 08.11.2022
Страница №10 из 16:
Увеличить