Официальное опубликование правовых актов
ОФИЦИАЛЬНОЕ ОПУБЛИКОВАНИЕ
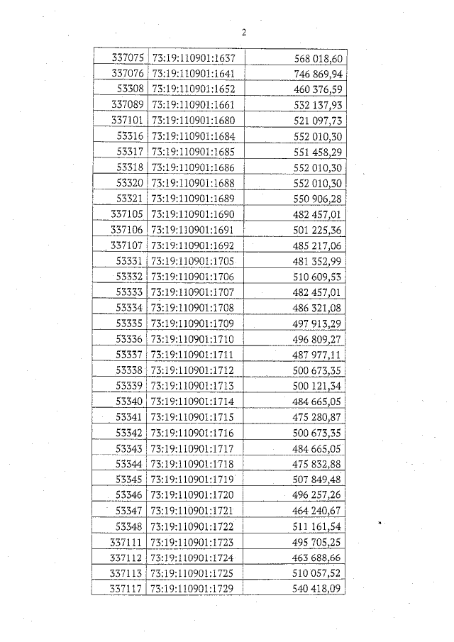
Приказ Министерства имущественных отношений и архитектуры Ульяновской области от 29.08.2022 № 226-пр
"О внесении изменений в Приказ Министерства строительства и архитектуры Ульяновской области от 20.10.2020 г. № 241-пр"
Номер опубликования: 7301202209010001
Дата опубликования: 01.09.2022
Страница №2 из 13:
Увеличить