Официальное опубликование правовых актов
ОФИЦИАЛЬНОЕ ОПУБЛИКОВАНИЕ
Приказ Министерства семейной, демографической политики и социального благополучия Ульяновской области от 28.02.2022 № 5-п
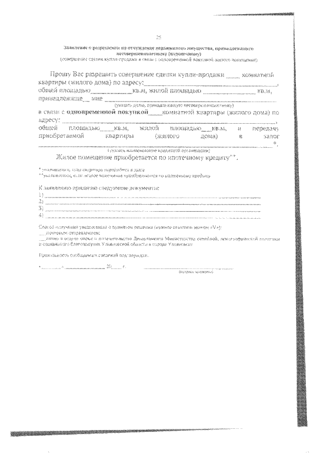
"Об утверждении Административного регламента предоставления Департаментом Министерства семейной, демографической политики и социального благополучия Ульяновской области в городе Ульяновске государственной услуги "Выдача в соответствии с законодательством разрешений на совершение сделок с имуществом несовершеннолетних"
Номер опубликования: 7301202203010003
Дата опубликования: 01.03.2022
Страница №26 из 44:
Увеличить