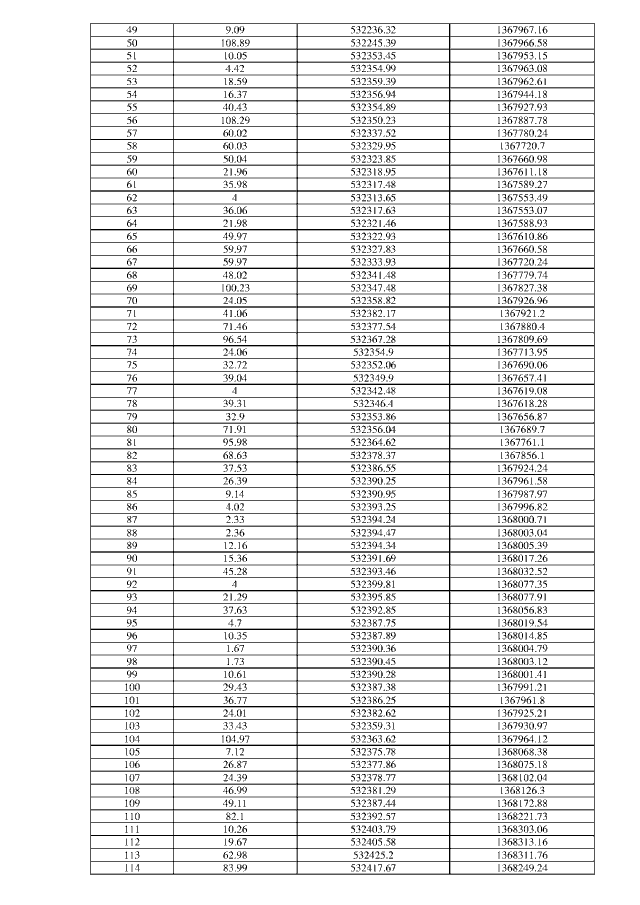
Приказ Министерства строительства и архитектуры Ульяновской области от 12.08.2021 № 163-пр
"Об утверждении границы охранной зоны внутрипоселкового газопровода среднего и низкого давления в с.Лебедевка Сурского района, протяжённостью 6334 м, адрес: Российская Федерация, Ульяновская область, р-н Сурский, МО Астрадамовское сельское поселение, д.Лебедевка, ул. Линия, ул. Большая, ул. Нижняя, ул. Заглядовка и наложении ограничений (обременений) на входящие в неё земельные участки"
"Об утверждении границы охранной зоны внутрипоселкового газопровода среднего и низкого давления в с.Лебедевка Сурского района, протяжённостью 6334 м, адрес: Российская Федерация, Ульяновская область, р-н Сурский, МО Астрадамовское сельское поселение, д.Лебедевка, ул. Линия, ул. Большая, ул. Нижняя, ул. Заглядовка и наложении ограничений (обременений) на входящие в неё земельные участки"
Номер опубликования: 7301202108190004
Дата опубликования:
19.08.2021
