Официальное опубликование правовых актов
ОФИЦИАЛЬНОЕ ОПУБЛИКОВАНИЕ
Приказ Министерства строительства и архитектуры Ульяновской области от 12.08.2021 № 164-пр
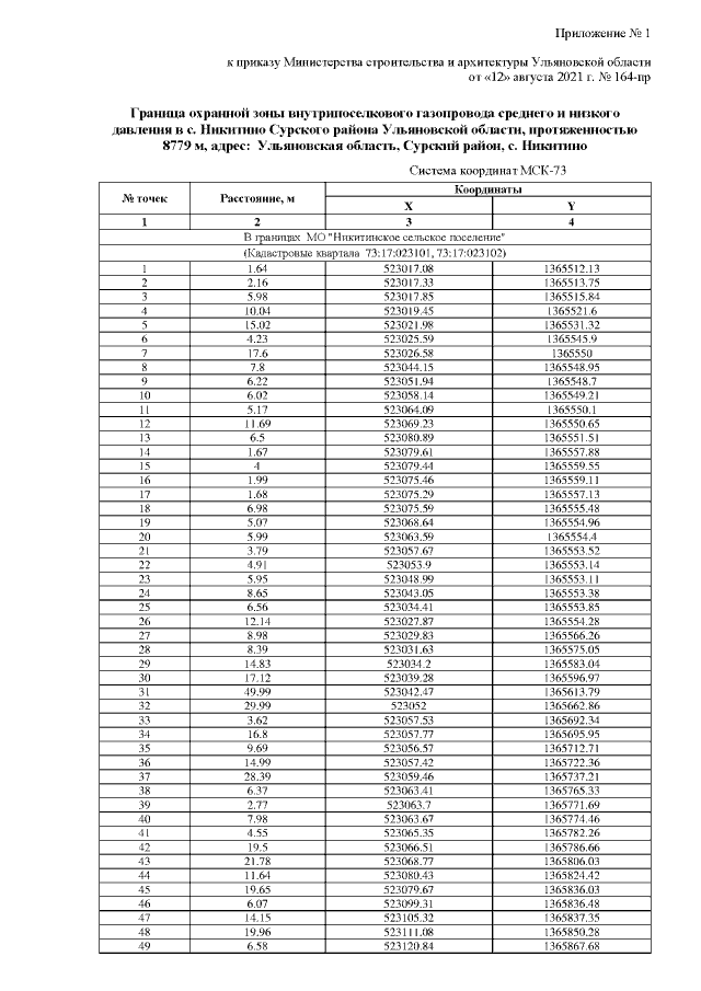
"Об утверждении границы охранной зоны внутрипоселкового газопровода среднего и низкого давления в с. Никитино Сурского района Ульяновской области, протяжённостью 8779 м, адрес: Ульяновская область, Сурский р-н, с. Никитино и наложении ограничений (обременений) на входящие в неё земельные участки"
Номер опубликования: 7301202108190003
Дата опубликования: 19.08.2021
Страница №3 из 13:
Увеличить