Официальное опубликование правовых актов
ОФИЦИАЛЬНОЕ ОПУБЛИКОВАНИЕ
Приказ Министерства строительства и архитектуры Ульяновской области от 12.08.2021 № 165-пр
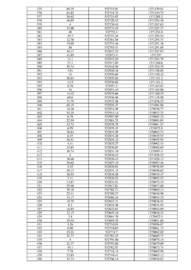
"Об утверждении границы охранной зоны внутрипоселкового газопровода среднего и низкого давления в с. Астрадамовка Сурского района Ульяновской области, протяжённостью 21491 м, адрес: Ульяновская область, Сурский район, с. Астрадамовка, ул. Совхозная, ул. Красная Площадь, ул. Советская, ул. Ленина, ул. Первомайская, ул. Октябрьская, ул. Трудовая, ул. Больничная, ул. Карла Маркса, ул. Вырина, ул. Клары Цеткин, ул. Пролетарская, ул. Больничная и наложении ограничений (обременений) на входящие в неё земельные участки"
Номер опубликования: 7301202108190002
Дата опубликования: 19.08.2021
Страница №9 из 21:
Увеличить