Официальное опубликование правовых актов
ОФИЦИАЛЬНОЕ ОПУБЛИКОВАНИЕ
Приказ Министерства строительства и архитектуры Ульяновской области от 02.06.2021 № 127-пр
"О внесении изменений в Приказ Министерства строительства и архитектуры Ульяновской области от 20.10.2020 г. № 241-пр"
Номер опубликования: 7301202106080001
Дата опубликования: 08.06.2021
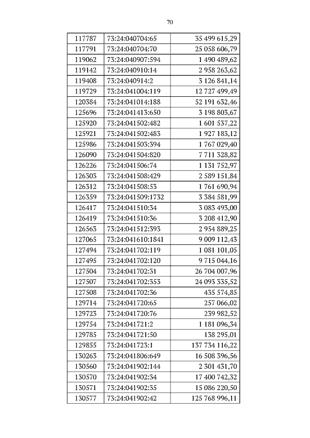
Страница №70 из 71:
Увеличить