Официальное опубликование правовых актов
ОФИЦИАЛЬНОЕ ОПУБЛИКОВАНИЕ
Приказ Министерства транспорта Ульяновской области от 08.04.2021 № 6-ОД
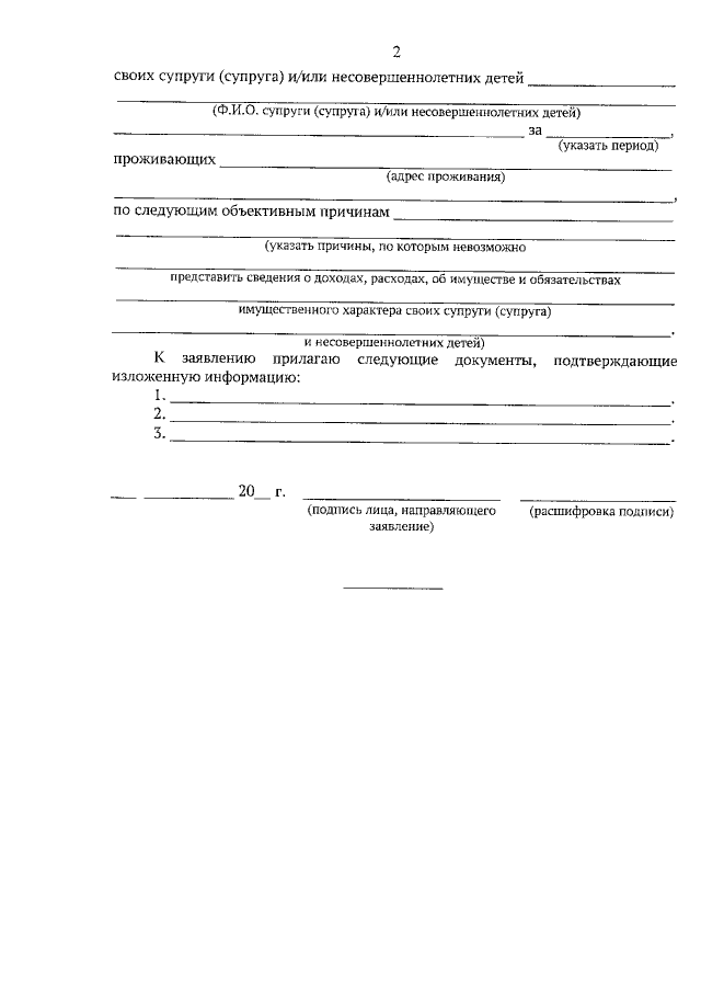
"О порядке подачи обращений, заявлений и уведомлений в Комиссию по соблюдению требований к служебному поведению государственных гражданских служащих Министерства транспорта Ульяновской области и урегулированию конфликта интересов"
Номер опубликования: 7301202104130002
Дата опубликования: 13.04.2021
Страница №12 из 24:
Увеличить