Официальное опубликование правовых актов
ОФИЦИАЛЬНОЕ ОПУБЛИКОВАНИЕ
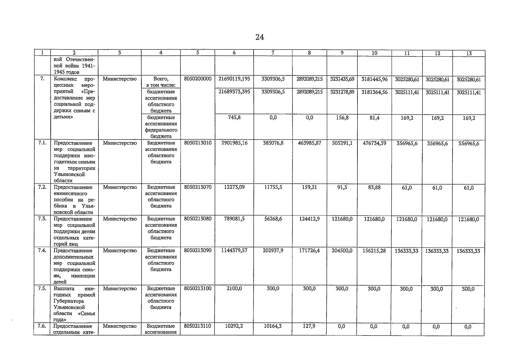
Постановление Правительства Ульяновской области от 24.12.2025 № 35/757-П
"О внесении изменений в отдельные нормативные правовые акты Правительства Ульяновской области"
Номер опубликования: 7300202512260016
Дата опубликования: 26.12.2025
Страница №33 из 58:
Увеличить