Официальное опубликование правовых актов
ОФИЦИАЛЬНОЕ ОПУБЛИКОВАНИЕ
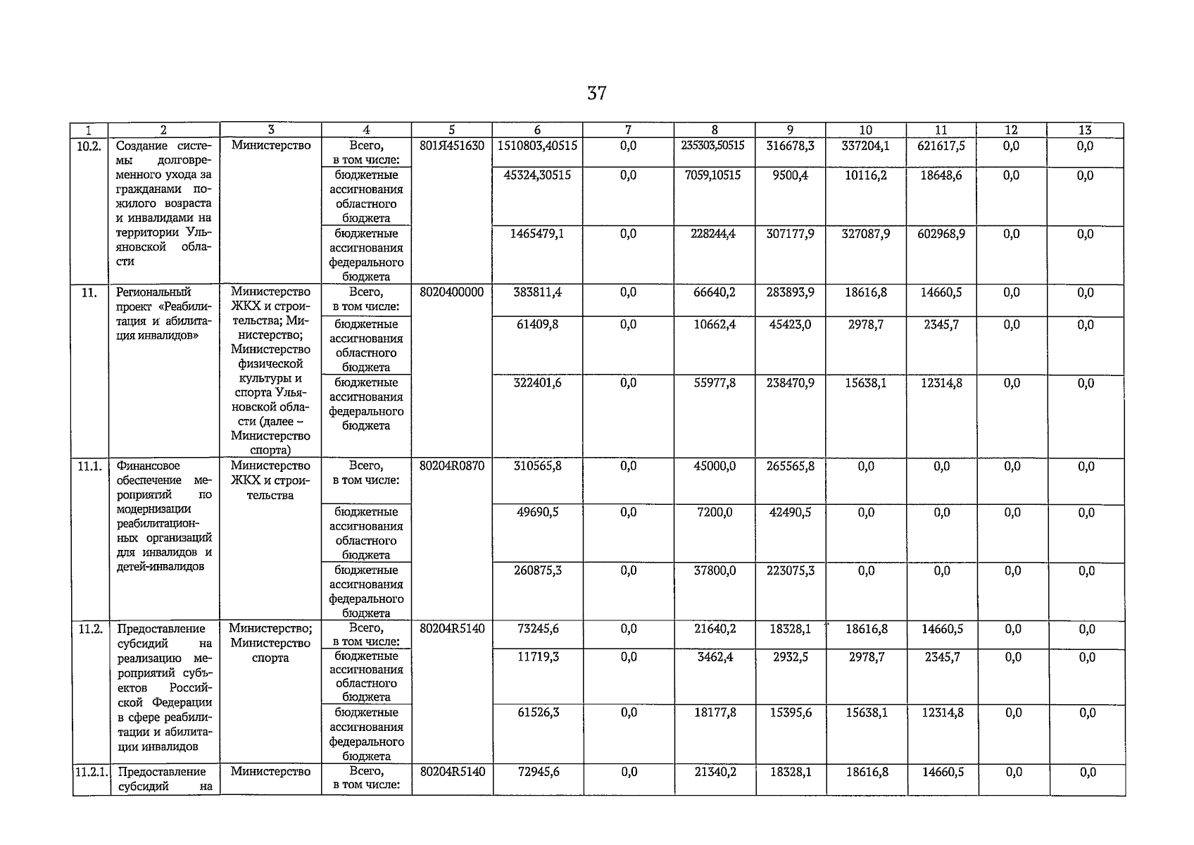
Постановление Правительства Ульяновской области от 21.11.2025 № 31/645-П
"О внесении изменений в государственную программу Ульяновской области "Социальная поддержка и защита населения на территории Ульяновской области"
Номер опубликования: 7300202511280002
Дата опубликования: 28.11.2025
Страница №38 из 50:
Увеличить