Постановление Правительства Ульяновской области от 28.05.2025 № 254-П
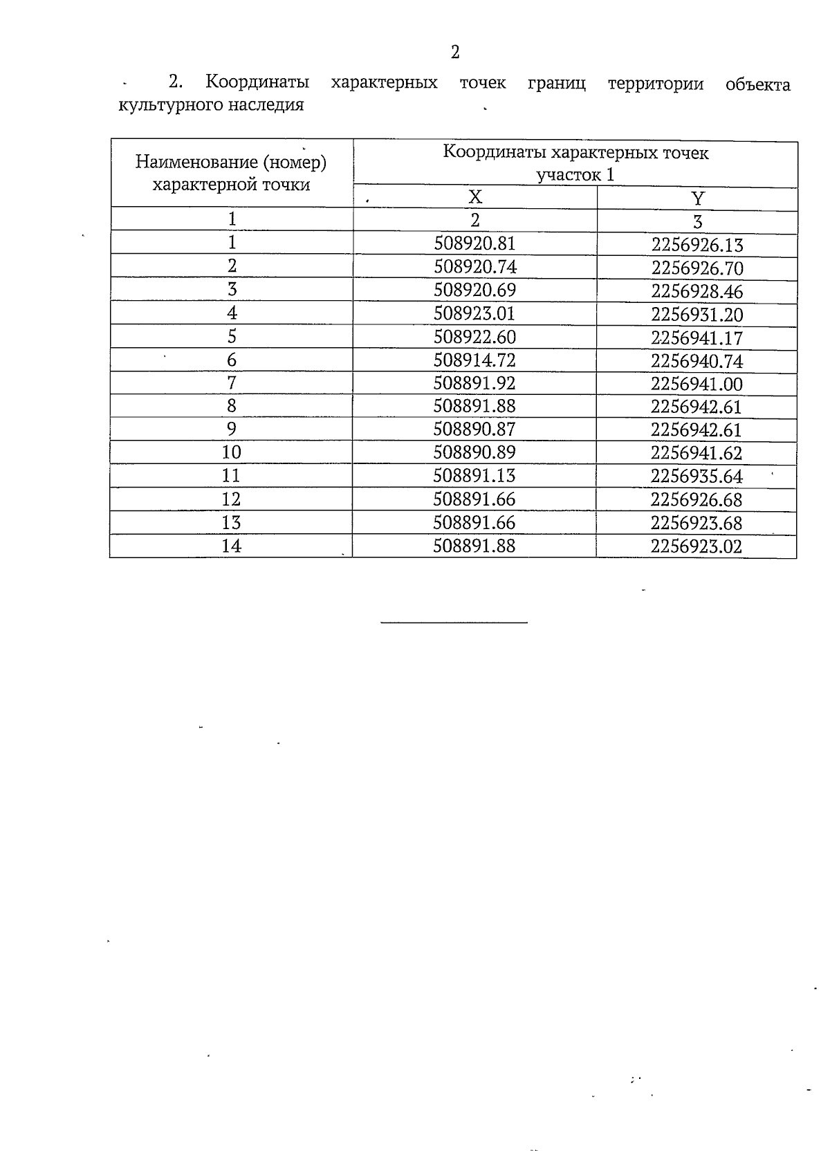
"Об утверждении границ территории объекта культурного наследия регионального значения "Соборная (вторая) мечеть, 1915-1922 гг.", расположенного по адресу: г. Ульяновск, ул. Дзержинского, д. 20А"
"Об утверждении границ территории объекта культурного наследия регионального значения "Соборная (вторая) мечеть, 1915-1922 гг.", расположенного по адресу: г. Ульяновск, ул. Дзержинского, д. 20А"
Номер опубликования: 7300202505300008
Дата опубликования:
30.05.2025
