Официальное опубликование правовых актов
ОФИЦИАЛЬНОЕ ОПУБЛИКОВАНИЕ
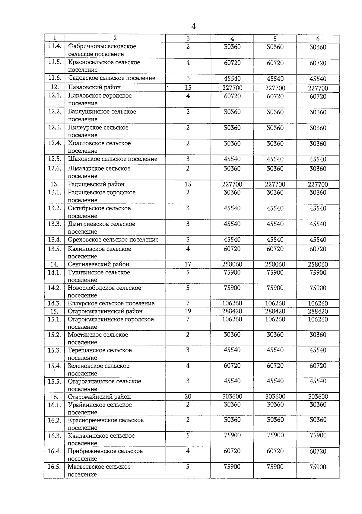
Постановление Правительства Ульяновской области от 15.01.2025 № 6-П
"Об утверждении распределения иных межбюджетных трансфертов из областного бюджета Ульяновской области, предоставляемых в 2025 году и плановом периоде 2026 и 2027 годов бюджетам поселений и городских округов Ульяновской области в целях финансового обеспечения расходных обязательств, связанных с осуществлением ежемесячных денежных выплат лицам, осуществляющим полномочия сельских старост"
Номер опубликования: 7300202501170003
Дата опубликования: 17.01.2025
Страница №6 из 8:
Увеличить