Официальное опубликование правовых актов
ОФИЦИАЛЬНОЕ ОПУБЛИКОВАНИЕ
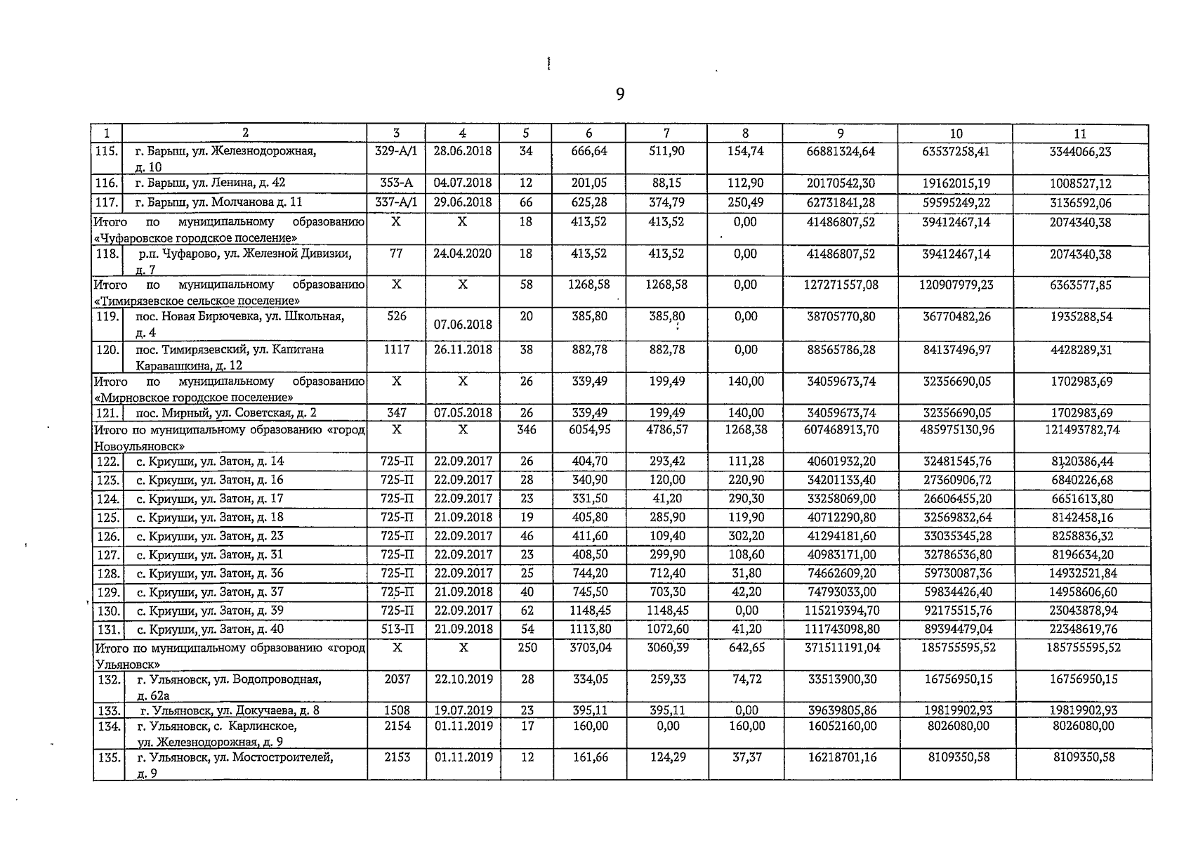
Постановление Правительства Ульяновской области от 25.12.2024 № 791-П
"О внесении изменений в постановление Правительства Ульяновской области от 21.11.2017 № 573-П"
Номер опубликования: 7300202412260005
Дата опубликования: 26.12.2024
Страница №9 из 18:
Увеличить