Официальное опубликование правовых актов
ОФИЦИАЛЬНОЕ ОПУБЛИКОВАНИЕ
Постановление Правительства Ульяновской области от 19.12.2024 № 35/753-П
"О внесении изменений в отдельные нормативные правовые акты Правительства Ульяновской области"
Номер опубликования: 7300202412250013
Дата опубликования: 25.12.2024
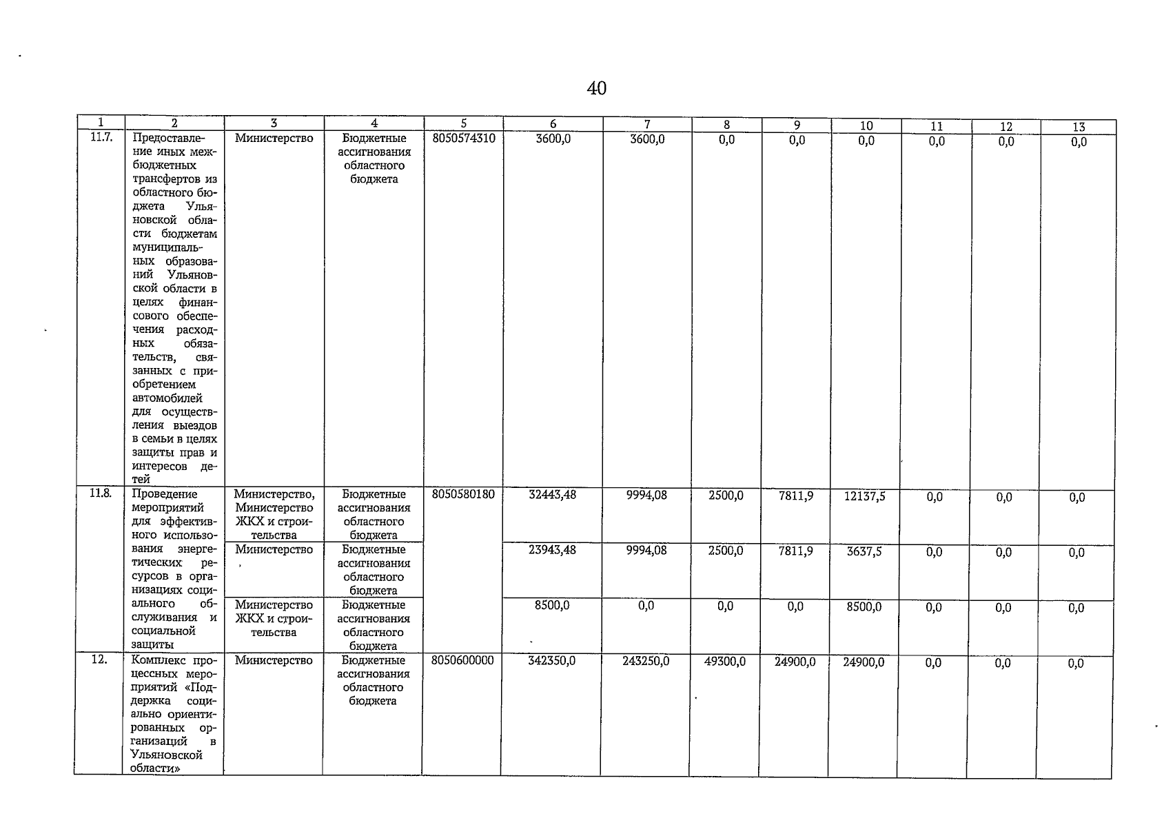
Страница №48 из 52:
Увеличить