Официальное опубликование правовых актов
ОФИЦИАЛЬНОЕ ОПУБЛИКОВАНИЕ
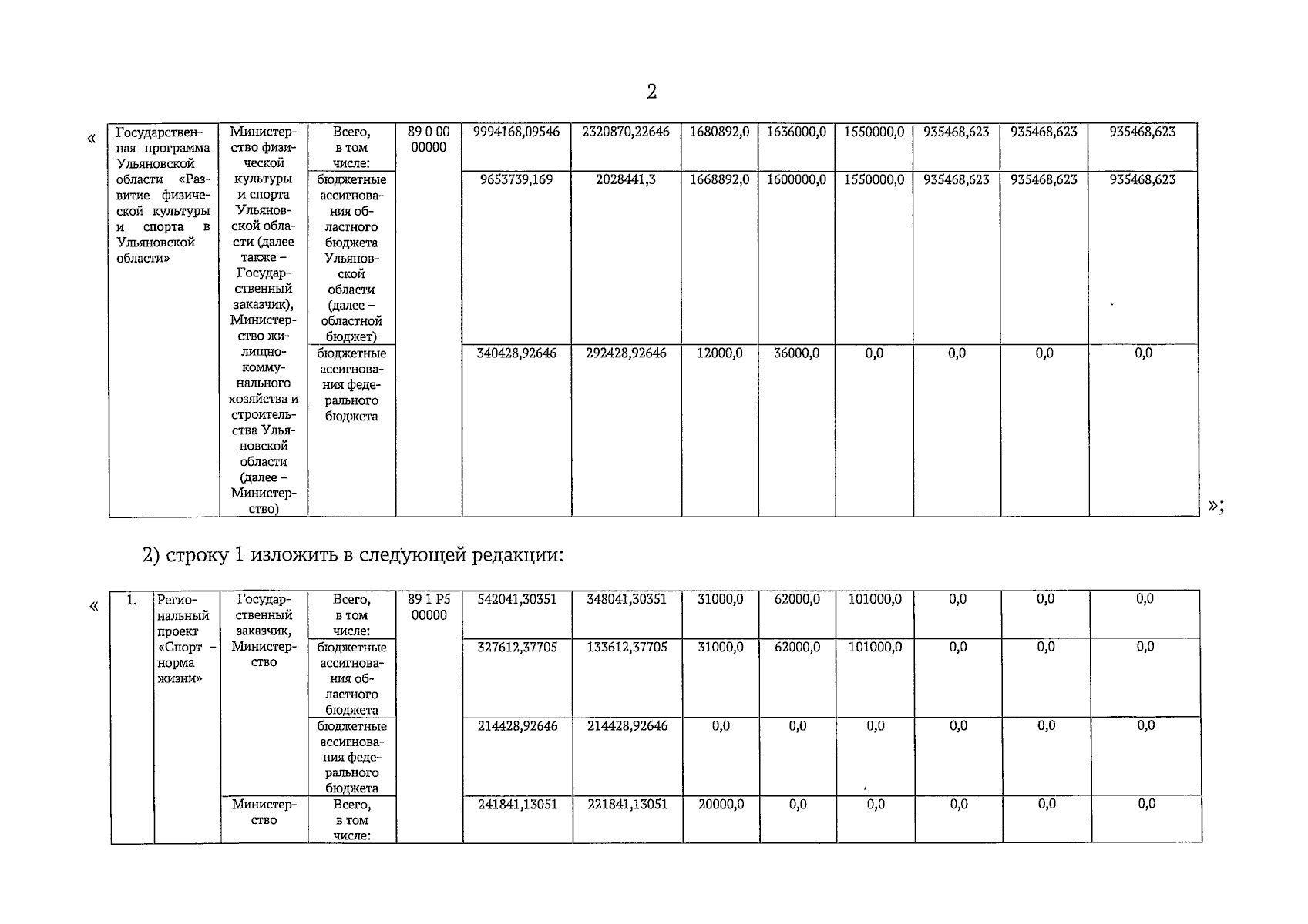
Постановление Правительства Ульяновской области от 19.12.2024 № 35/758-П
"О внесении изменений в отдельные нормативные правовые акты Правительства Ульяновской области"
Номер опубликования: 7300202412250012
Дата опубликования: 25.12.2024
Страница №7 из 9:
Увеличить