Официальное опубликование правовых актов
ОФИЦИАЛЬНОЕ ОПУБЛИКОВАНИЕ
Постановление Правительства Ульяновской области от 26.11.2024 № 32/691-П
"О внесении изменений в государственную программу Ульяновской области "Формирование благоприятного инвестиционного климата в Ульяновской области"
Номер опубликования: 7300202411280001
Дата опубликования: 28.11.2024
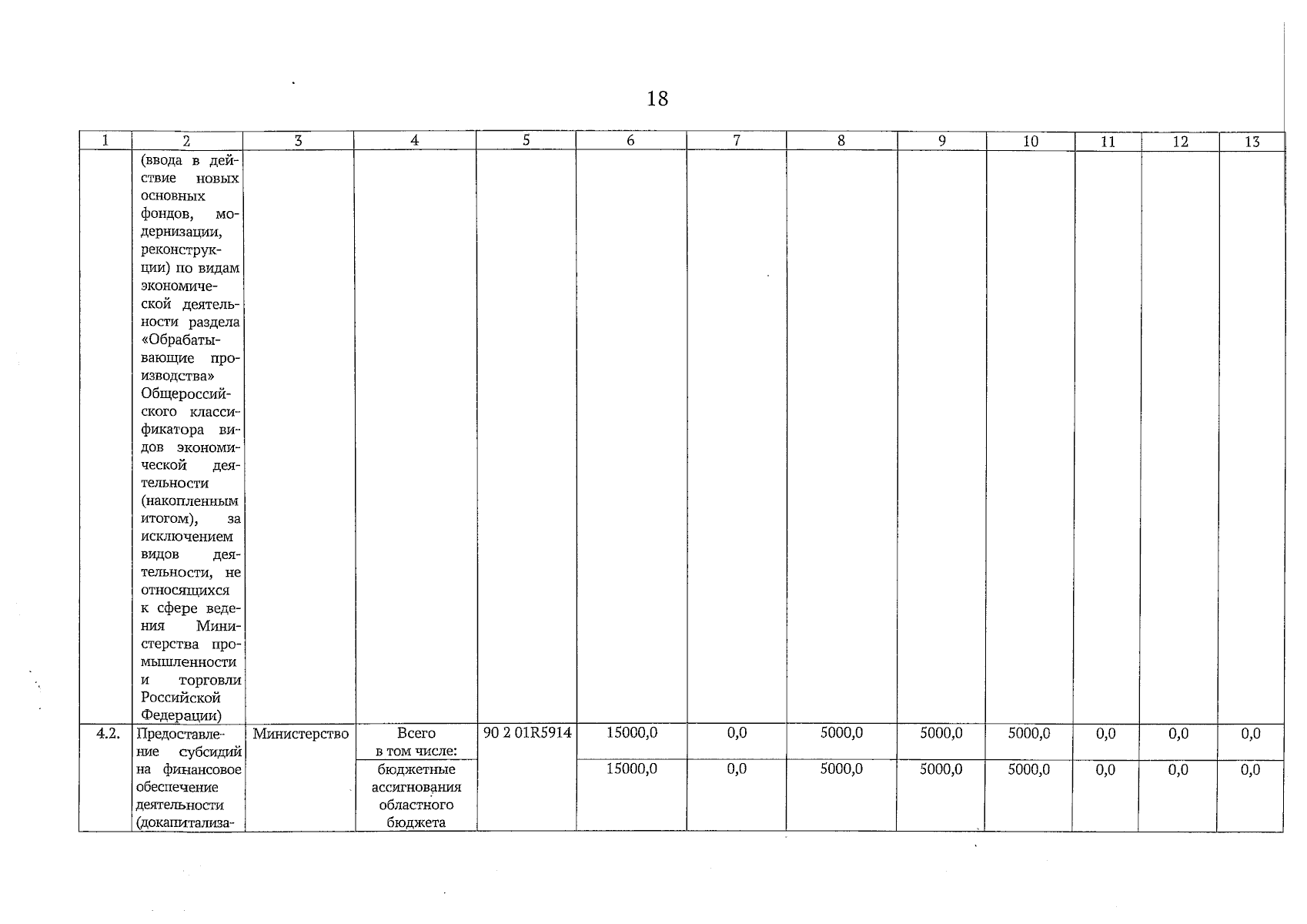
Страница №19 из 27:
Увеличить