Официальное опубликование правовых актов
ОФИЦИАЛЬНОЕ ОПУБЛИКОВАНИЕ
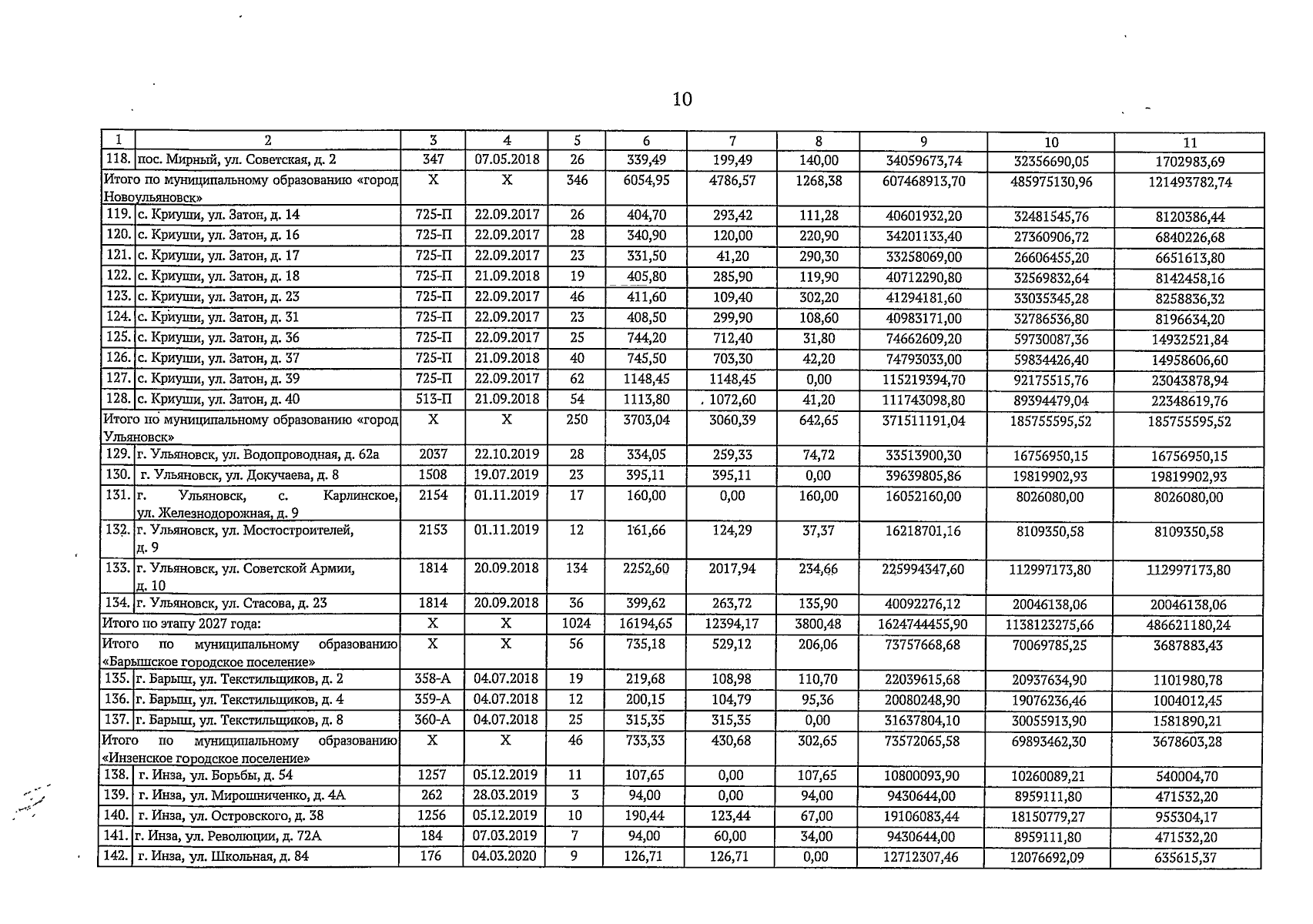
Постановление Правительства Ульяновской области от 14.05.2024 № 263-П
"О внесении изменений в постановление Правительства Ульяновской области от 21.11.2017 № 573-П"
Номер опубликования: 7300202405150001
Дата опубликования: 15.05.2024
Страница №10 из 18:
Увеличить