Официальное опубликование правовых актов
ОФИЦИАЛЬНОЕ ОПУБЛИКОВАНИЕ
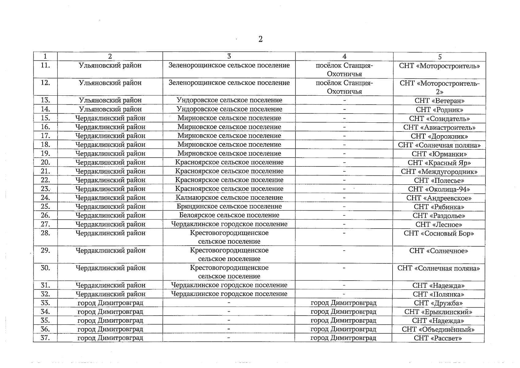
Постановление Правительства Ульяновской области от 29.03.2024 № 142-П
"О некоторых мерах, направленных на обеспечение пожарной безопасности в Ульяновской области"
Номер опубликования: 7300202404010001
Дата опубликования: 01.04.2024
Страница №21 из 22:
Увеличить