Официальное опубликование правовых актов
ОФИЦИАЛЬНОЕ ОПУБЛИКОВАНИЕ
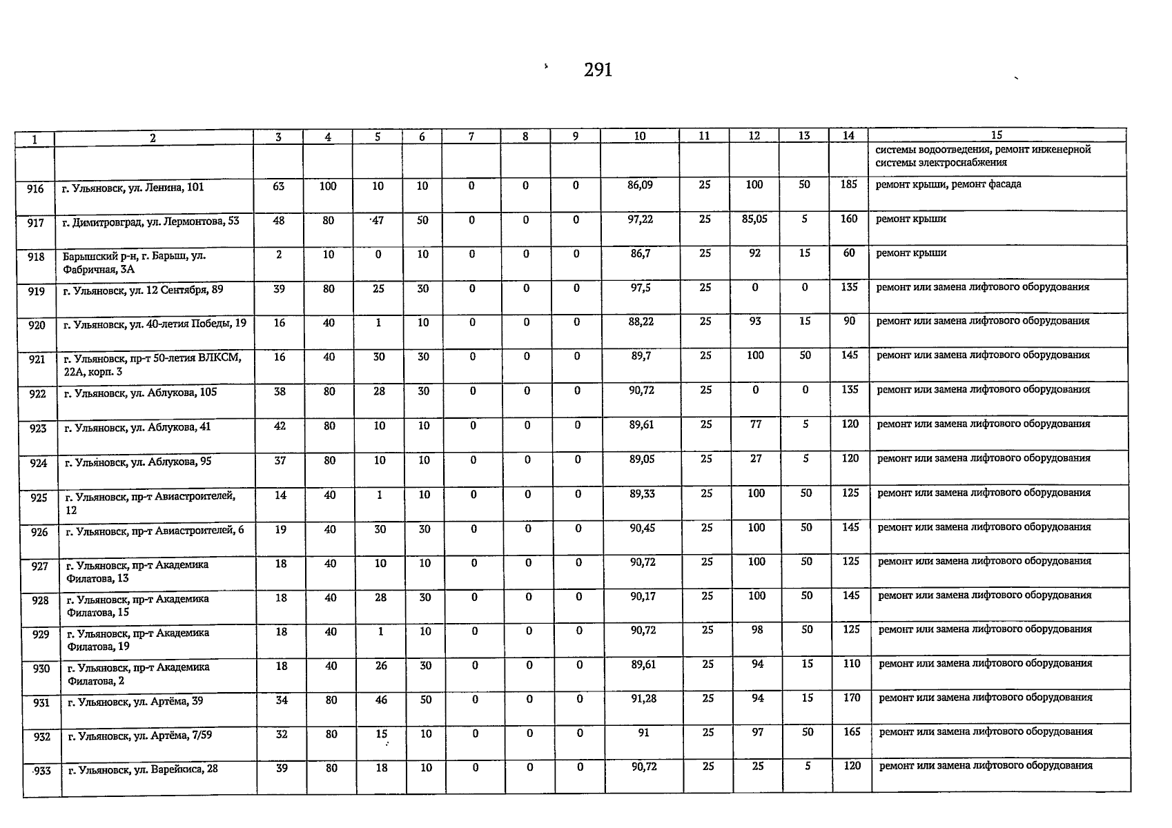
Постановление Правительства Ульяновской области от 19.02.2024 № 81-П
"О внесении изменений в региональную программу капитального ремонта общего имущества в многоквартирных домах, расположенных на территории Ульяновской области"
Номер опубликования: 7300202402200001
Дата опубликования: 20.02.2024
Страница №291 из 803:
Увеличить