Официальное опубликование правовых актов
ОФИЦИАЛЬНОЕ ОПУБЛИКОВАНИЕ
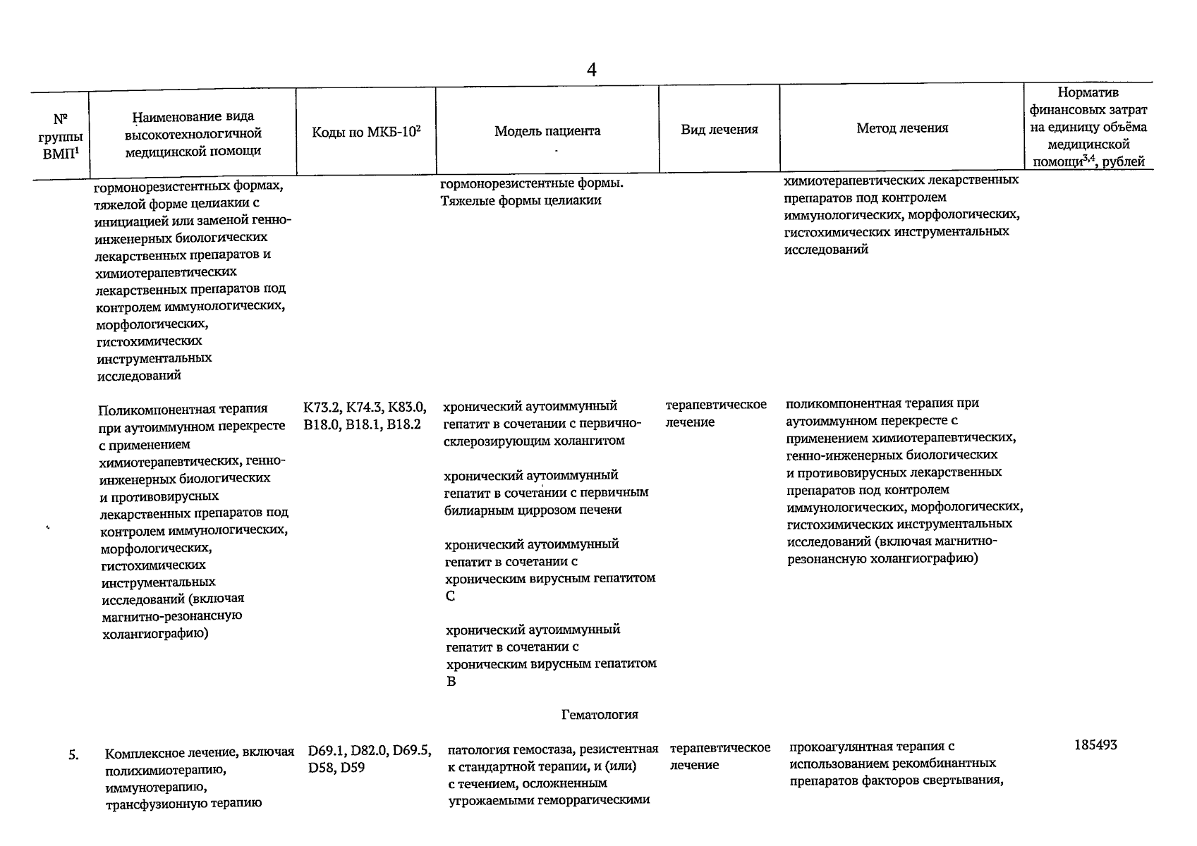
Постановление Правительства Ульяновской области от 29.12.2023 № 772-П
"Об утверждении Территориальной программы государственных гарантий бесплатного оказания гражданам медицинской помощи на территории Ульяновской области на 2024 год и на плановый период 2025 и 2026 годов"
Номер опубликования: 7300202312290036
Дата опубликования: 29.12.2023
Страница №79 из 710:
Увеличить