Официальное опубликование правовых актов
ОФИЦИАЛЬНОЕ ОПУБЛИКОВАНИЕ
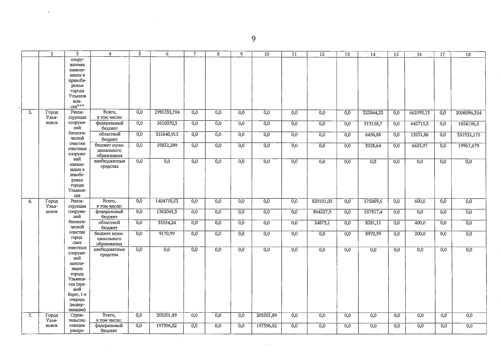
Постановление Правительства Ульяновской области от 21.12.2023 № 36/699-П
"О внесении изменений в государственную программу Ульяновской области "Развитие жилищно-коммунального хозяйства и повышение энергетической эффективности в Ульяновской области"
Номер опубликования: 7300202312210005
Дата опубликования: 21.12.2023
Страница №10 из 25:
Увеличить