Официальное опубликование правовых актов
ОФИЦИАЛЬНОЕ ОПУБЛИКОВАНИЕ
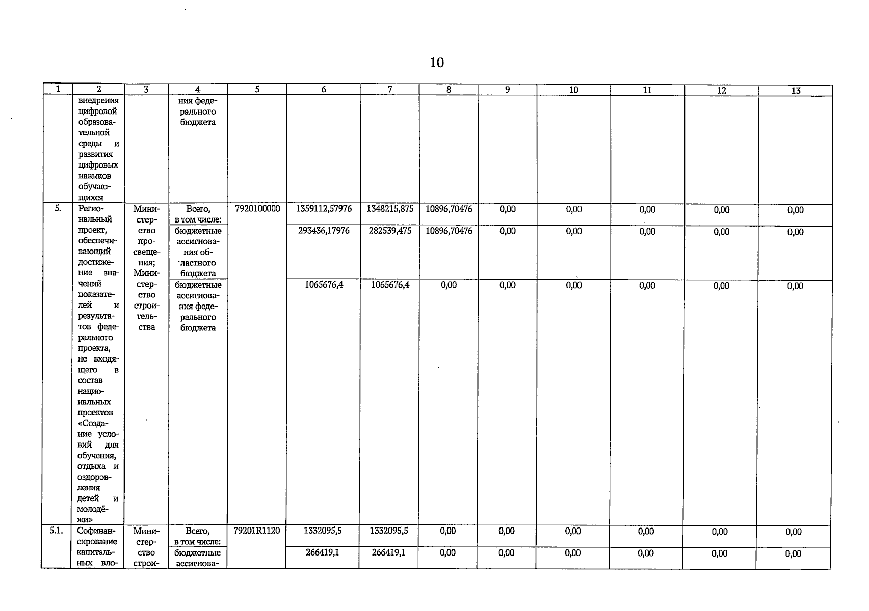
Постановление Правительства Ульяновской области от 30.11.2023 № 32/636-П
"Об утверждении государственной программы Ульяновской области "Развитие и модернизация образования в Ульяновской области"
Номер опубликования: 7300202312050001
Дата опубликования: 05.12.2023
Страница №34 из 119:
Увеличить