Официальное опубликование правовых актов
ОФИЦИАЛЬНОЕ ОПУБЛИКОВАНИЕ
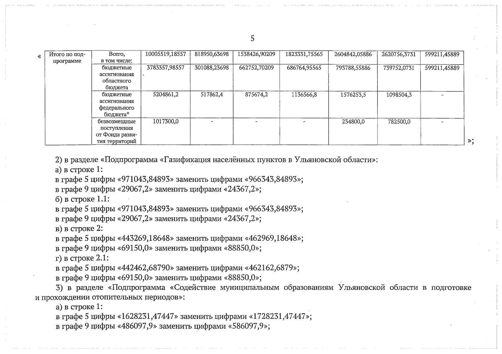
Постановление Правительства Ульяновской области от 24.08.2023 № 22/424-П
"О внесении изменений в государственную программу Ульяновской области "Развитие жилищно-коммунального хозяйства и повышение энергетической эффективности в Ульяновской области"
Номер опубликования: 7300202309010008
Дата опубликования: 01.09.2023
Страница №6 из 7:
Увеличить