Официальное опубликование правовых актов
ОФИЦИАЛЬНОЕ ОПУБЛИКОВАНИЕ
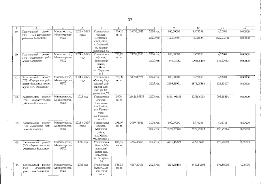
Постановление Правительства Ульяновской области от 18.05.2023 № 12/224-П
"О внесении изменений в государственную программу Ульяновской области "Развитие здравоохранения в Ульяновской области"
Номер опубликования: 7300202305240011
Дата опубликования: 24.05.2023
Страница №33 из 50:
Увеличить