Официальное опубликование правовых актов
ОФИЦИАЛЬНОЕ ОПУБЛИКОВАНИЕ
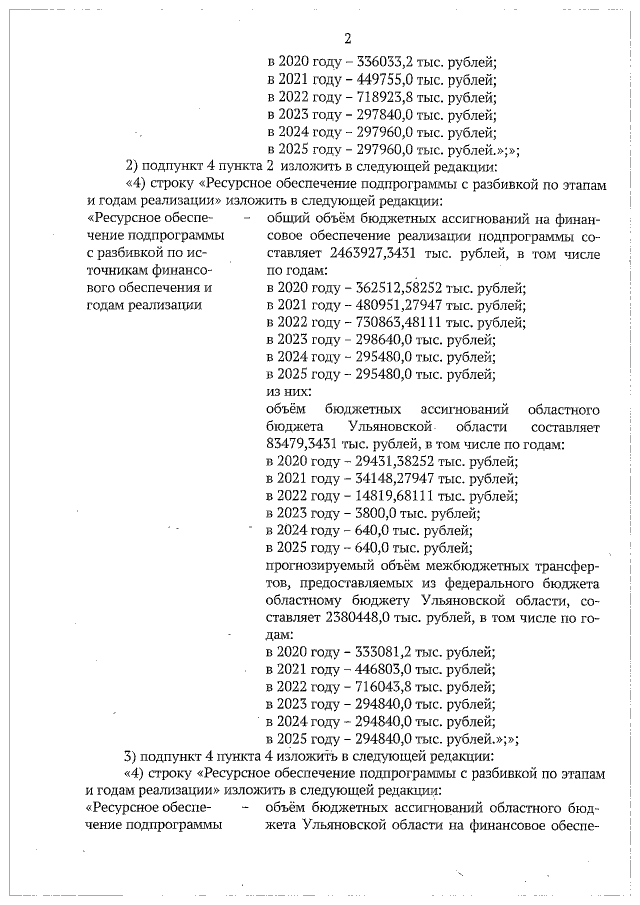
Постановление Правительства Ульяновской области от 14.12.2022 № 25/747-П
"О внесении изменений в отдельные нормативные правовые акты Правительства Ульяновской области"
Номер опубликования: 7300202212210002
Дата опубликования: 21.12.2022
Страница №7 из 41:
Увеличить