Официальное опубликование правовых актов
ОФИЦИАЛЬНОЕ ОПУБЛИКОВАНИЕ
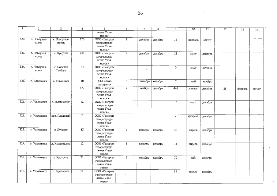
Указ Губернатора Ульяновской области от 07.11.2022 № 142
"О внесении изменений в региональную программу газификации жилищно-коммунального хозяйства, промышленных и иных организаций в Ульяновской области на 2021-2030 годы"
Номер опубликования: 7300202211100011
Дата опубликования: 10.11.2022
Страница №37 из 477:
Увеличить