Официальное опубликование правовых актов
ОФИЦИАЛЬНОЕ ОПУБЛИКОВАНИЕ
Указ Губернатора Ульяновской области от 22.04.2022 № 48
"О внесении изменений в указ Губернатора Ульяновской области от 21.06.2021 № 55"
Номер опубликования: 7300202204250007
Дата опубликования: 25.04.2022
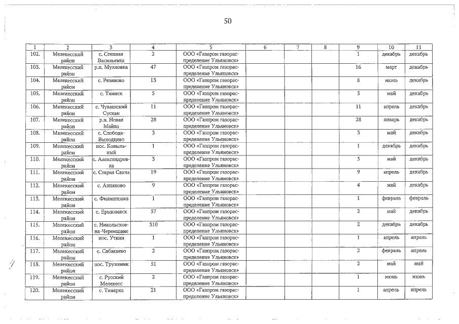
Страница №50 из 478:
Увеличить