Официальное опубликование правовых актов
ОФИЦИАЛЬНОЕ ОПУБЛИКОВАНИЕ
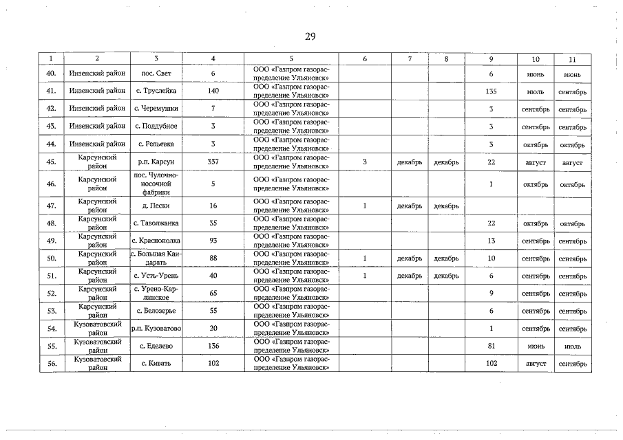
Указ Губернатора Ульяновской области от 24.12.2021 № 123
"О внесении изменений в региональную программу газификации жилищно-коммунального хозяйства, промышленных и иных организаций в Ульяновской области на 2021-2025 годы"
Номер опубликования: 7300202112270006
Дата опубликования: 27.12.2021
Страница №30 из 434:
Увеличить