Официальное опубликование правовых актов
ОФИЦИАЛЬНОЕ ОПУБЛИКОВАНИЕ
Постановление Правительства Ульяновской области от 23.11.2021 № 597-П
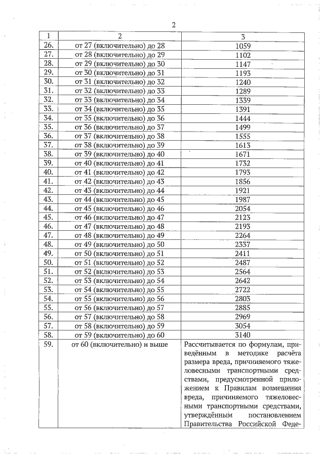
"Об определении размера вреда, причиняемого тяжеловесными транспортными средствами при движении таких транспортных средств по автомобильным дорогам регионального или межмуниципального значения Ульяновской области"
Номер опубликования: 7300202111260004
Дата опубликования: 26.11.2021
Страница №7 из 11:
Увеличить