Официальное опубликование правовых актов
ОФИЦИАЛЬНОЕ ОПУБЛИКОВАНИЕ
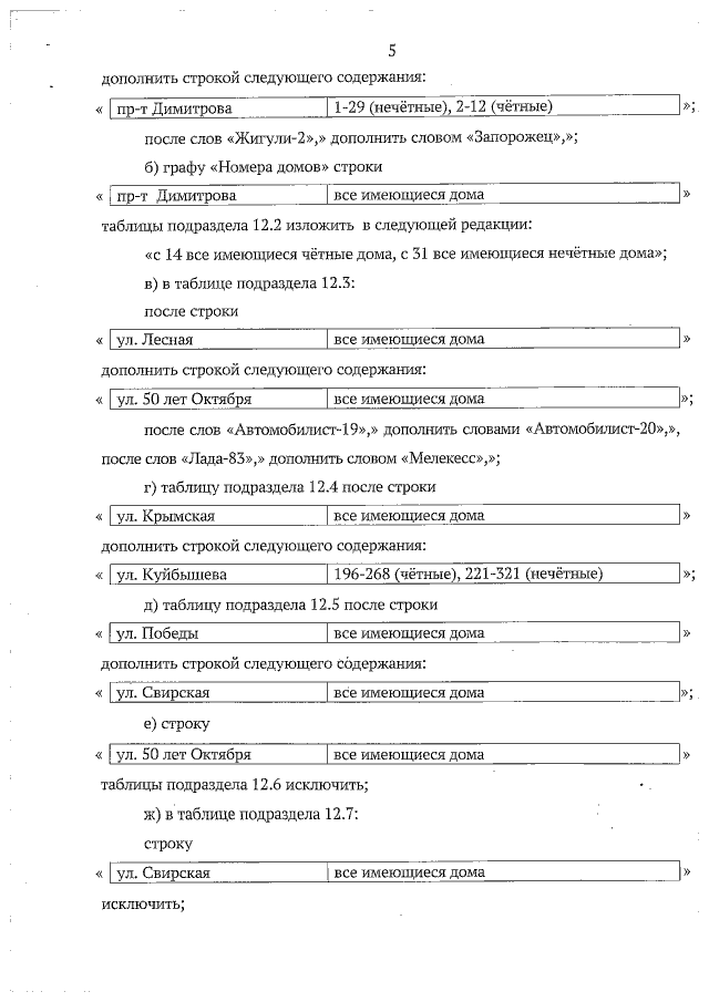
Закон Ульяновской области от 27.04.2021 № 36-ЗО
"О внесении изменений в Закон Ульяновской области "О создании должностей мировых судей и судебных участков в Ульяновской области"
Номер опубликования: 7300202104290002
Дата опубликования: 29.04.2021
Страница №5 из 15:
Увеличить