Официальное опубликование правовых актов
ОФИЦИАЛЬНОЕ ОПУБЛИКОВАНИЕ
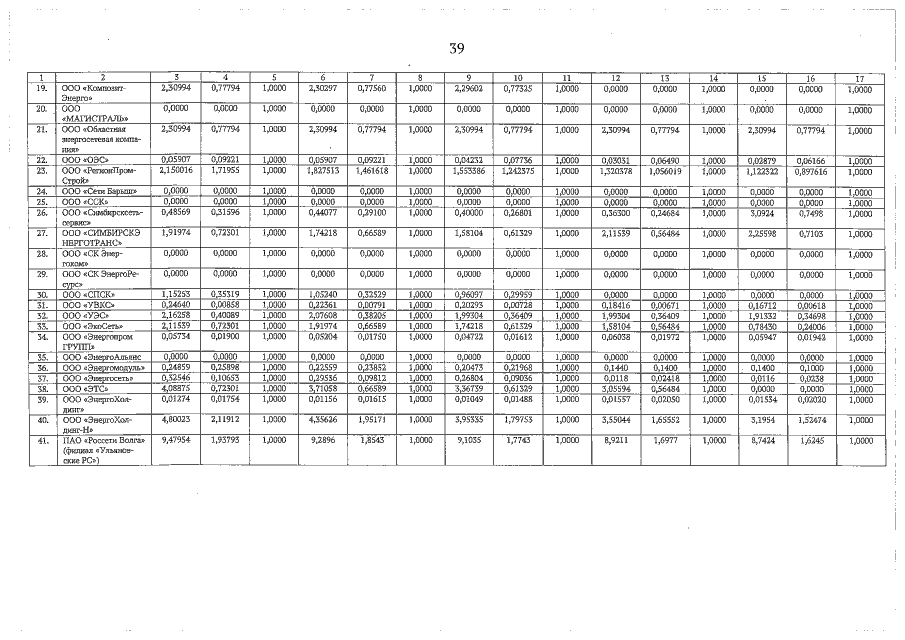
Указ Губернатора Ульяновской области от 23.04.2021 № 43
"Об утверждении схемы и программы перспективного развития электроэнергетики Ульяновской области на 2022-2026 годы"
Номер опубликования: 7300202104260003
Дата опубликования: 26.04.2021
Страница №40 из 41:
Увеличить