Официальное опубликование правовых актов
ОФИЦИАЛЬНОЕ ОПУБЛИКОВАНИЕ
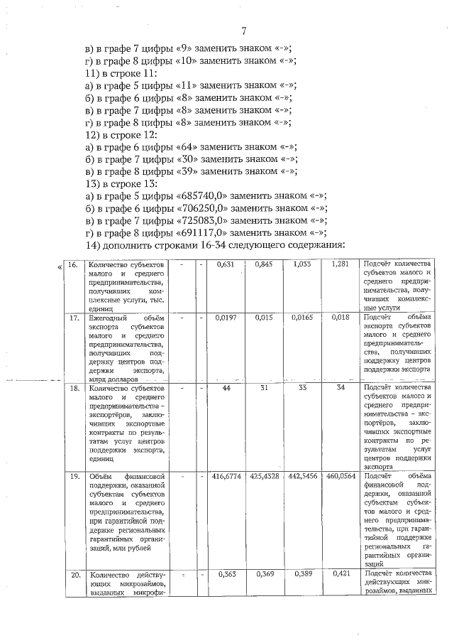
Постановление Правительства Ульяновской области от 10.03.2021 № 3/59-П
"О внесении изменений в государственную программу Ульяновской области "Развитие малого и среднего предпринимательства в Ульяновской области"
Номер опубликования: 7300202103190007
Дата опубликования: 19.03.2021
Страница №8 из 30:
Увеличить