Официальное опубликование правовых актов
ОФИЦИАЛЬНОЕ ОПУБЛИКОВАНИЕ
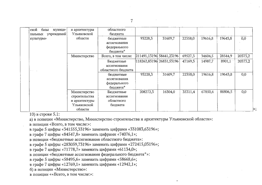
Постановление Правительства Ульяновской области от 10.03.2021 № 3/60-П
"О внесении изменений в государственную программу Ульяновской области "Развитие культуры, туризма и сохранение объектов культурного наследия в Ульяновской области"
Номер опубликования: 7300202103190002
Дата опубликования: 19.03.2021
Страница №8 из 14:
Увеличить