Официальное опубликование правовых актов
ОФИЦИАЛЬНОЕ ОПУБЛИКОВАНИЕ
Постановление Правительства Ульяновской области от 09.03.2021 № 55-П
"О внесении изменения в постановление Правительства Ульяновской области от 03.08.2020 № 433-П"
Номер опубликования: 7300202103120011
Дата опубликования: 12.03.2021
Страница №7 из 32:
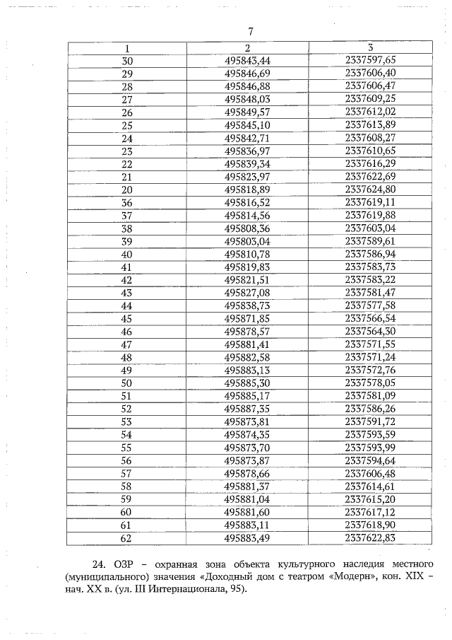
Увеличить