Официальное опубликование правовых актов
ОФИЦИАЛЬНОЕ ОПУБЛИКОВАНИЕ
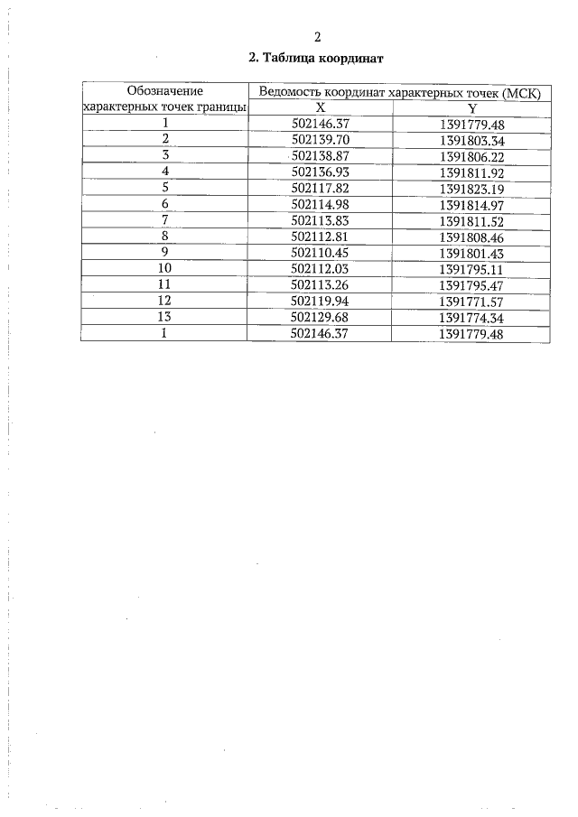
Постановление Правительства Ульяновской области от 11.03.2021 № 64-П
"Об утверждении границ и режима использования территорий объектов культурного наследия (памятников истории и культуры) народов Российской Федерации регионального значения, расположенных на территории Ульяновской области"
Номер опубликования: 7300202103120007
Дата опубликования: 12.03.2021
Страница №34 из 53:
Увеличить