Официальное опубликование правовых актов
ОФИЦИАЛЬНОЕ ОПУБЛИКОВАНИЕ
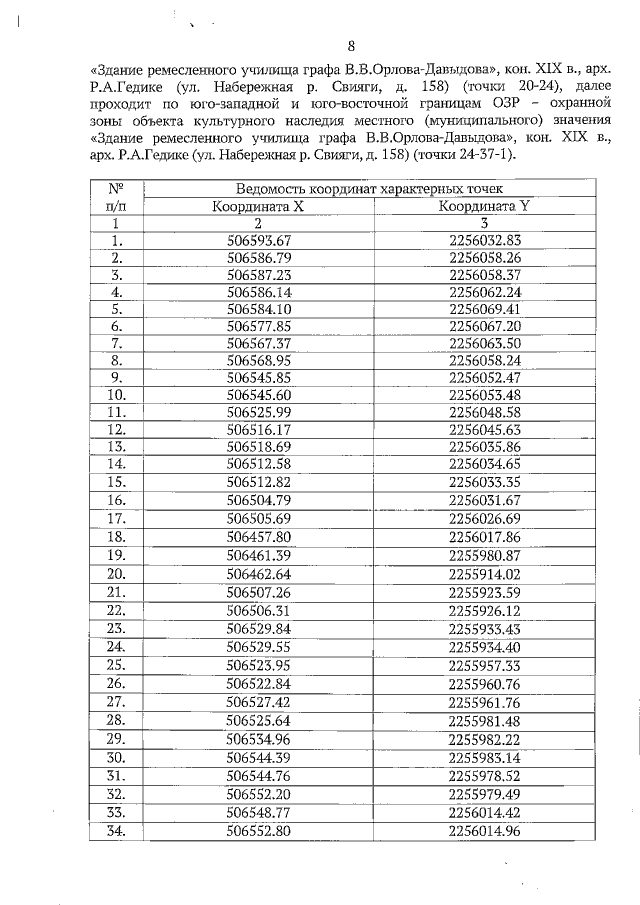
Постановление Правительства Ульяновской области от 17.12.2020 № 760-П
"О внесении изменений в постановление Правительства Ульяновской области от 02.07.2009 № 256-П"
Номер опубликования: 7300202012230001
Дата опубликования: 23.12.2020
Страница №8 из 19:
Увеличить