Официальное опубликование правовых актов
ОФИЦИАЛЬНОЕ ОПУБЛИКОВАНИЕ
Указ Губернатора Ульяновской области от 10.08.2020 № 132
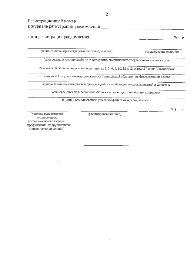
"Об утверждении формы уведомления Губернатора Ульяновской области о намерении лица, замещающего государственную должность Ульяновской области, не указанную в пунктах 1, 2, 6, 7, 10, 12 и 13 статьи 3 Закона Ульяновской области "О государственных должностях Ульяновской области", участвовать на безвозмездной основе в управлении некоммерческой организацией (кроме участия в управлении политической партией, органом профессионального союза, участия в съезде (конференции) или общем собрании иной общественной организации, жилищного, жилищно-строительного, гаражного кооперативов, товарищества собственников недвижимости) и формы журнала регистрации указанных уведомлений"
Номер опубликования: 7300202008120003
Дата опубликования: 12.08.2020
Страница №4 из 5:
Увеличить