Официальное опубликование правовых актов
ОФИЦИАЛЬНОЕ ОПУБЛИКОВАНИЕ
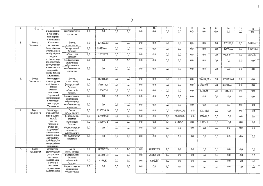
Постановление Правительства Ульяновской области от 24.07.2020 № 16/394-П
"О внесении изменений в государственную программу Ульяновской области "Развитие жилищно-коммунального хозяйства и повышение энергетической эффективности в Ульяновской области"
Номер опубликования: 7300202007310006
Дата опубликования: 31.07.2020
Страница №10 из 18:
Увеличить